常用缩合剂--1,3-二环己基碳二亚胺(DCC)

文章正文
发布时间:2025-07-02 06:37

常用缩合剂--1,3-二环己基碳二亚胺(DCC)

2020/11/3 14:11:50

概述

【英文名称】1,3-Dicyclohexylcarbodiimide

【分子量】206.33

【CAS】[538-75-0]

【缩写和别名】DCC

【物理性质】乳白色固体,mp 34~35 oC, bp122~124 oC。它易溶于二氯甲烷、四氢呋喃、乙腈以及N,N-二甲基甲酰胺。

【注意事项】该试剂对皮肤具有较强的刺激性,使用时需戴上橡胶手套,应在通风橱中进行操作。该试剂容易吸潮,应保存在干燥器中。

1,3-二环己基碳二亚胺(DCC)是一种很强的脱水试剂,多用于酰胺、酯和酸酐的合成中。同时,DCC在醇氧化为酮、一级酰胺转化为腈、β-羟基酮转化为α,β-不饱和酮的反应中得到了比较广泛的应用。

应用

一、酰胺、酯、酸酐等的合成 (脱水剂)

DCC常用在多肽合成以及一些胺类与羧酸反应形成酰胺键的化合物中,其反应产率较高,反应速率也较快 (式1)[1]。

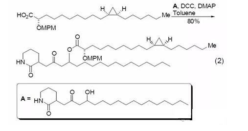
在酯的合成中,伯醇、仲醇、烷基硫醇等均可在DCC 存在的情况下与羧酸类化合物发生偶合反应。而对空间位阻较大的醇类来说,反应的产率相对较低 (式2)[2]。磷酸酯[3]也可在DCC的偶合下进行合成。

对于酸酐的合成,DCC是一种最简便、反应条件最温和,同时产率最高的偶合试剂[4]。

二、醇到醛或酮的转化

在 DCC 存在下,DMSO可被活化,进而与伯醇或仲醇反应生成相应的醛或酮,从而实现由醇到醛或酮的转化(式3),与其它金属催化的氧化反应相比,DCC存在下的氧化反应条件极其温和,产物单一,同时具有较好的化学选择性[5]。

三、脱水反应

DCC具有很强的脱水性,因此也常被用来合成具有某些特殊官能团的化合物,如使用羧酸合成烯酮的反应 (式4)[6]。β-羟基酮、β-羟基酯等与DCC反应可以生成α,β-不饱和酮或酯。

四、硫脲转化为氰基胍

在DCC的作用下,硫脲可以在适当的反应条件下转化为氰基胍 (式5)[7]。

五、羧酸与NHS的反应形成活化酯

在DCC的偶合下,羧酸与NHS 反应形成活化酯 (式6)[8],然后氨基或羟基对羰基的亲核进攻形成酰胺键或酯键。

参考文献

1. Sullivan, T. P.; van Poll, M. L.; Dankers, P. Y. W.; Huck, W. T. S. Angew. Chem., Int. Ed., 2004, 43, 4190.

2. Toshima, H.; Maru, K.; Saito, M.; Ichihara, A. Tetrahedron, 1999, 55, 5793.

3. Aurelio, M.;Cathy, H.; Jean-Louis, L. J. Org. Chem., 1996, 61, 6015.

4. Shelkov, R.; Nahmany, M.; Melman, A. Org. Biomol. Chem., 2004, 2, 397.

5. Nagamitsu, T.; Sunazuka, T.; Tanaka, H.; Omura, S.; Sprengeler, P. A.; Smith, A. B. J. Am. Chem. Soc., 1996, 118, 3584.

6. Olah, G. A.; Wu, A.; Farooq, O. Synthesis, 1989, 568.

免责申明 ChemicalBook平台所发布的新闻资讯只作为知识提供,仅供各位业内人士参考和交流,不对其精确性及完整性做出保证。您不应 以此取代自己的独立判断,因此任何信息所生之风险应自行承担,与ChemicalBook无关。文章中涉及所有内容,包括但不限于文字、图片等等。如有侵权,请联系我们进行处理!